Aufgabe | Standardaufgaben zum freien Fall

Video: Aufgabe | Standardaufgaben zum freien Fall
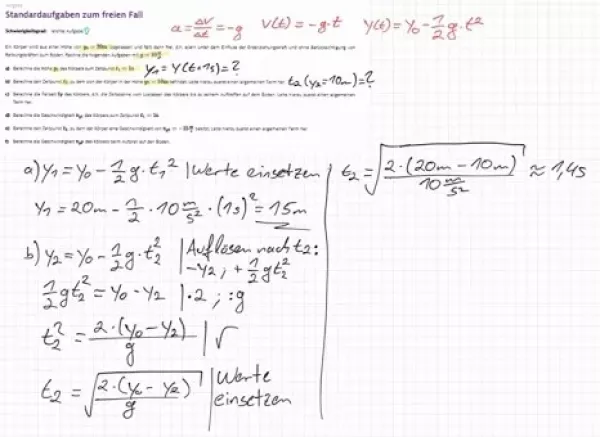
Das Video behandelt typische Aufgaben zum freien Fall, die häufig in Tests oder Klausuren vorkommen. Es werden grundlegende physikalische Konzepte wie Beschleunigung, Geschwindigkeit, Höhe und Zeit analysiert und mithilfe der Standardformeln des freien Falls berechnet. Die Aufgaben sind praxisnah und bieten eine schrittweise Herleitung der Lösungen, um ein besseres Verständnis für die Bewegungslehre zu vermitteln.
Video abspielen
Lernressource Video
Lizenz Copyright, freier Zugang
Sprache Deutsch
Medium melden
ähnliche Materialien

Als Anwendung installieren

Installieren Sie HubbS als App für ein besseres Nutzungserlebnis. Mehr erfahren.

Abbrechen